El Centro de Astrobiología (CSIC-INTA) desarrolla herramientas de análisis para la explotación científica de la misión Gaia.
El pasado 25 de abril la Agencia Espacial Europea (ESA) presentó la segunda colección de datos de la misión Gaia, un proyecto que tiene por objetivo cartografiar nuestra galaxia con una precisión sin precedentes. El catálogo publicado representa el mayor mapa estelar construido hasta la fecha y proporciona posiciones, brillos y distancias, así como información de la dirección del movimiento en el espacio y la velocidad del mismo para más de mil millones de estrellas, lo que lo convierte en una herramienta imprescindible para avanzar en el conocimiento de la Vía Láctea.
Esta ingente cantidad de datos, unida a la de otros archivos astronómicos que proporcionarán información adicional de gran interés, en particular en aquellos casos en los que el objeto sea muy débil o muy brillante para Gaia o que emita gran parte de su energía fuera del rango visible, plantea un reto interesante para la comunidad astronómica: ¿seremos sepultados por esta enorme avalancha de datos o, por el contrario, contamos con los mecanismos necesarios para extraer el conocimiento científico que dichos datos encierran? Dos son las claves para dar una respuesta positiva a la pregunta anterior: "Big Data" y Observatorio Virtual. Big Data es, sin duda, uno de los conceptos de moda en el mundo informático. Se habla de Big Data cuando, como ocurre con Gaia, el volumen de datos a tratar supera la capacidad del software habitual para su manejo. Es impensable imaginarse un batallón de expertos humanos intentando identificar y clasificar cada uno de los millones de objetos observados por Gaia. En estos casos es necesario olvidarse de metodologías clásicas y aplicar una batería de técnicas distintas entre las que destacan la minería de datos y los desarrollos astroestadísticos que permiten abordar análisis multidimensionales mucho más profundos que los estudios a los que estamos acostumbrados.
Por su parte, el Observatorio Virtual (VO, según sus siglas en inglés) es una iniciativa internacional que nació hacia el año 2000 con el objetivo de crear una federación de archivos de datos astronómicos a nivel mundial. Esta federación de archivos actúa como una única base de datos virtual y permite que, dado un objeto astronómico, cualquier persona pueda conocer de manera fácil y rápida todo lo relacionado con el mismo (dónde, cómo y cuándo fue observado y qué se conoce de dicho objeto).
El Observatorio Virtual es mucho más que un "Google" astronómico, ya que proporciona información de manera estandarizada, lo que permite que todos los archivos se "entiendan" al compartir una misma lengua. Esta normalización en la forma de comunicarse los archivos astronómicos permite abordar retos impensables hace tan sólo unos años.
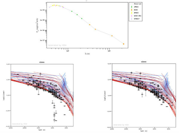
HERRAMIENTAS DE ANÁLISIS: VOSA Y CLUSTERIX
El Instituto Nacional de Técnica Aeroespacial (INTA), a través del Centro de Astrobiología (CAB, CSIC-INTA), lidera y coordina, desde 2004, las actividades de Observatorio Virtual en España. En el marco del proyecto Gaia, el grupo de VO se ha centrado en el desarrollo de dos herramientas de análisis que permitan a los astrónomos trabajar de manera rápida y precisa con toda la información que, sobre los objetos Gaia, existe en el universo del Observatorio Virtual: VOSA y Clusterix. El catálogo Gaia proporciona información del brillo de las estrellas solamente en tres longitudes de onda. Para poder conocer parámetros físicos fundamentales de las mismas, es necesario complementar la información de Gaia con medidas de brillo a otras longitudes de onda, desde el rango ultravioleta hasta el infrarrojo y analizar estos datos comparándolos con modelos teóricos. VOSA, desarrollada en el CAB en colaboración con científicos de la Universidad de Valparaíso (Chile), realiza todo este proceso de manera automática para miles de objetos a la vez (figura 1).

Los cúmulos estelares son estructuras básicas para entender el nacimiento y evolución de las estrellas. Las estrellas de un cúmulo son parte de una misma "familia" y, como tales, comparten rasgos de identidad propios –todas tienen la misma edad, se mueven en la misma dirección, se encuentran a la misma distancia y su composición química es muy similar–. Se espera que Gaia incremente de manera significativa el número de cúmulos conocidos, pero para ello es necesario determinar los parámetros físicos de sus miembros, comprobando que poseen un patrón común y distinto al de las estrellas de su vecindad. Para facilitar esta ingente tarea, el grupo de VO, en colaboración con científicos de la Universidad de Barcelona (ICCUB-IEEC), ha desarrollado Clusterix, una herramienta que permite, de manera fácil y eficiente para el astrónomo, recopilar toda la información existente sobre movimientos y distancias, visualizarla y asignar la probabilidad de pertenencia de un determinado objeto a un cúmulo (figura 2).

El reto es enorme y la carrera no ha hecho más que comenzar. En el marco del proyecto Gaia, el grupo de Observatorio Virtual del Centro de Astrobiología continuará dedicando recursos y ofreciendo servicios a la comunidad astronómica para avanzar en el conocimiento del universo.